嗨! 您好,欢迎来到斯普瑞商城!
登录
注册
找试剂
找耗材/设备
搜索
全部分类
高端化学
分析科学
生命科学
材料科学
安全防护 · 办公用品
常规耗材 · 生物耗材
国产设备 · 进口设备
实验器械 · 玻璃仪器
检测服务 · 病理形态
办公电脑 · 时尚数码
低价促销,有买有送
有机砌块
卤代烃
胺
苯酚
酮
酰卤
羧酸
醛
硝基和亚硝基化合物
酯
肼
有机磷/膦配体
胺盐
异氰酸酯
醇
单硫醚/硫醚
氨基醇
硫醇类/巯基化合物
烯烃
芳烃
氰化物/腈
肟
醚
缩醛/缩酮/原酸酯
磺酸/亚磺酸盐
羧酸酐
脲
酰胺/酰胺化合物
胍
硫脲
磺酰卤化物
硫氰酸盐/异硫氰酸盐
炔烃
羧酸盐
烷烃
环氧化物
酰肼
硫代羰基化合物
亚胺/脒/二酰亚胺
磺胺类药物/亚磺酰胺
叠氮/偶氮/重氮化合物
砜/亚砜类
硒化合物
砷化合物
腙
特殊合成
合成
离子液体
氟合成
化学生物学
化学连接
氨基酸衍生物
非天然氨基酸衍生物
多肽合成
多肽耦合
氨基保护
碳水化合物合成
聚乙二醇化修饰
寡核苷酸合成
固相多肽合成
有机金属试剂
硼酸及其衍生物
有机硅
格氏试剂
有机铝
有机铜
有机锡
有机锂
有机锗
有机铅
有机锌试剂
有机汞
合成试剂
螯合/络合化合物
氧化
C-X键形成
路易斯酸
有机酸
无机酸
无机盐
有机碱
相转移催化剂
耦合
还原
保护和衍生
键形成
C-X键形成(无卤素)
无机碱
脱水试剂
特种气体
催化和无机化学
钡
锇
镉
钕
铂
锡
锶
钪
铒
铁
镧
锑
钇
铱
钯
硅
碲
锆
铌
无机磷
钴
镍
铅
铜
镝
铕
镁
钠
锰
镱
钙
铋
铽
铝
硼
铬
钌
镥
锂
钼
汞
钾
钆
锌
铑
其他配体
钨
镨
银
金
铈
铯
钐
钛
镓
钽
铪
钬
砷
铟
铍
锗
铷
铼
铥
钒
N-杂环化合物
卟啉
金催化
铊
硒
杂环砌块
其它杂环
吡啶
噻吩
吡喃
嘧啶
吲哚
吗啉
吡唑
吡咯
咪唑
恶二唑
噻唑
恶唑
三嗪
嘌呤
哌嗪
喹啉
异恶唑
异喹啉
三唑
香豆素
哌啶
吡嗪
呋喃
哒嗪
咔唑
哌啶酮
奎宁
喹恶啉
吲唑
吖啶
四氮唑
苯并恶嗪
喹唑啉
噻二唑
苯并二氧六环
噻嗪
不对称合成
手性砌块
拆分试剂
手性助剂
手性催化剂,配体和试剂
稳定性同位素
核磁共振溶剂和试剂
保护性氨基酸
农业
气体
生物核磁共振
糖
脂肪酸
氨基酸(同位素)
类固醇和激素
标记生物活性物
乙酰辅酶A衍生物
香精香料
合成香料
天然认证产品
精油
气相色谱
吸附剂
分析试剂
色谱溶剂/CE试剂
常用分析试剂
衍生化试剂
光谱
滴定
特定用途试剂
指示剂溶液
杀菌剂和防腐剂
树脂与LC分离介质
分子筛,活性碳,助滤剂
硅胶
分析标准品
农残、兽药及化肥类
农业和环境标准品
有机标准溶液
酚类化合物标准品
物理性质
食品和饮料标准品
无机单元素标准溶液
生命科学标准品
气相色谱标准品(色标)
挥发性有机化合物(VOCs)
仪器检定/校准
容量分析滴定液
中药标准品
法医和兽医标准品
滴定标准品
具体方法
化学类
临床标准品
熔点标准品
多环芳烃(PAHs)
化妆品标准品
核材料和放射性标准物质
认证用标准物质
空气检测标准品
高分子标准品
离子传感器材料
离子传感器用塑化剂
高压液相色谱
HPLC溶剂
溶剂
苯
四氢呋喃
正己烷
醋酸乙酯
正庚烷
甲醇
丙酮
乙醇
异丙醇
二甲基亚砜
二甲基甲酰胺
氯仿
乙腈
二氯甲烷
色谱耗材
生物预装柱
生物活性小分子
DNA损伤
神经信号
G蛋白偶联受体&G蛋白
血管生成
代谢
PI3K/Akt/mTOR
蛋白酪氨酸激酶
表观遗传学
细胞凋亡
JAK/STAT
蛋白酶
细胞周期
膜转运/离子通道
内分泌与激素
MAPK
微生物Microbiology
TGF-beta/Smad
细胞骨架信号
干细胞与Wnt信号
NF-kB
其他
癌症研究
化学预防物质
致癌物质
抗肿瘤剂
血管再生
肿瘤生长调节
生化试剂
多肽
生物缓冲液
荧光探针,标记,颗粒和染色
酶与辅酶
碳水化合物
核苷,核苷酸,寡核苷酸
抗生素
变性剂
氨基酸
脂类
发光化合物
去垢剂
微粒
酶抑制剂
酶底物
密度梯度
蛋白质和衍生物
赋形剂,仅用于研究
螯合剂
细胞生物学
细胞信号和神经生物学
植物生物技术
植物组织培养
营养学研究
植物生化提取物
维生素
代谢组学
代谢途径
分子生物学
分子生物学试剂
核酸电泳
细胞培养
试剂和补充物
抗体
补充产品
碳水化合物(糖类)
单糖
多糖
微生物学
培养基成分
蛋白组学
蛋白质结构分析
蛋白电泳
翻译后修饰
质谱
蛋白质定量
血液学和组织学
染色剂和染料
替代能源
电解质
储氢材料
金属和陶瓷科学
晶体级无机物
氧化物
硫属化合物
陶瓷
盐
合金
金属
碳基材料
生物材料
生物相容陶瓷
交联剂
微米/纳米电子材料
电子化学品
气相沉积前驱体
自组装和接触印刷
溶液沉积前驱体
电子材料
有机和印刷电子学
OLED和PLED材料
印刷电子
基质和电极材料
光子和光学材料
合成工具和试剂
升华材料
液晶
OFET和OPV材料
高分子科学
单体
聚乙二醇修饰剂
聚合引发剂
聚乙二醇和聚氧化乙烯
塑料添加剂
导电聚合物和单体
硅酮
疏水性高分子
亲水性高分子
工程塑料
天然高分子
纳米材料
碳纳米材料
纳米粒子:金属和金属陶瓷
纳米粉末和粒子分散液
表面功能化纳米粒子
纳米粒子:氧化物、氮化物和其他
倍半硅氧烷:POSS纳米杂化材料
树状大分子
身体防护
手套
口罩
条形帽
鞋套
防护服 · 洁净服
袖套
防护眼镜
无尘衣
防护面具
滤毒盒
耳塞
安全鞋 · 洁净鞋 · 无尘靴
洗眼器 · 洗眼液
安全应急 · 除尘
擦镜纸
称量盘(防静电)
擦拭纸 · 擦拭纸盒
擦拭布 · 无尘布 · 抹布
五金器具 · 工具箱
缠绕膜
无尘棉签
垫子
称量盘 · 无尘托盘
粘尘贴
无尘用纸 · 清洁纸
办公日用
剪刀/美工刀·回形针/工字钉
胶·胶带·尺子
铝箔纸
卷纸
抽纸
接线板
打孔器
洗手液
洗洁精 · 去污粉
风机 · 吹风机
千分尺 · 游标卡尺
秒表 · 定时器
行李箱 · 人体电子秤
保鲜膜 · 保鲜袋
医用棉签
橡皮筋
标签纸
实验家具 · 柜体
天平台
台车 · 推车 · 板车
桌 · 椅子
板架 · 钥匙架 · 板
整理架 · 整理板 · 整理箱
工作台
器皿柜
气瓶柜
安全柜
密集柜
文件柜
收纳柜 · 储物柜
展示柜
消毒柜
货架
烘箱台
暗室
无尘柜 · 除尘器/清洁器 · 清洁库
折叠箱
周转箱 · 携带箱
密封箱 · 密闭罐
管路 · 设备配件
管路接头
紧急喷淋装置
试剂架
合成架
气体考克
水枪 · 气枪 · 喷枪
水杯 · 水槽
滴水架
压力表
热电偶
传感器
磁力座/架/模块
阀门
抽排风装置
台式通风橱
落地式通风橱
万向抽气罩
原子吸收罩
导电类 · 防静电类
导电靴
垫子 · 接地线用
导电筐 · 导电盒 · 防静电箱 · 防静电盒
导电板架 · 导电托盘
导电海绵
防静电鞋
防静电椅子
防静电指套
防静电胶带
腕带 · 脚带
防静电膜 · 塑料袋
静电测定器
电动真空吸笔
量器
烧杯
量筒
量杯
容量瓶
三角烧瓶/锥形瓶
定量受器
量瓶
容器 · 收纳 · 周转
试管
流动相盖子
WB洗膜盒/孵育盒
程序降温盒
搪瓷盘 · 桶
不锈钢方盘 · 长盒
收纳盒 · 收纳箱 · 收纳筐
水培盒
抗体孵育盒
湿盒
铝盒 · 铝盘
塑料托盘
塑料喷壶 · 玻璃喷壶
塑料箱/塑料篮
不锈钢筐篮 · 罐
不锈钢药棉缸
不锈钢瓶/桶
气瓶固定架
试管架
试剂瓶斜架 · 试剂瓶托盘 · 试剂瓶筐
水漂
试管夹
存储瓶
防溅球
移液管架
移液器架
镊子套 · 镊子架
手套盒 · 手套架
培养皿架
密封容器
烧瓶架
方形容器
样品管架
灌胃针
不锈钢容器 · 不锈钢杯
注油壶
样品储存 · 样品管理
蓝盖瓶 · 橘盖瓶
自封袋
真空包装袋
样品瓶及盖垫
玻璃大口瓶(广口瓶) · 玻璃小口瓶(窄口瓶)
四氟大口瓶(广口瓶) · 四氟小口瓶(窄口瓶)
溶解氧瓶
集气瓶
氟化瓶 · 氟化桶
种子瓶
弗兰瓶
碘瓶
滴瓶
样品标签
标记笔
标识胶带
样品管
圆底溶剂安瓿瓶
玻璃标本瓶 · 纸制玻璃盖标本箱
瓶盖
透明罐
试剂瓶
塑料盒
反应 · 连接 · 冷凝
烧瓶
冷凝管 · 分馏柱
烧瓶托
橡胶管
漏斗托
乳胶管
硅胶管
塑料管
接头
蒸馏头 · 蒸馏器 · 蒸馏球
玻璃储液球
夹子
双排管 · 单排管
连接管 · 尾接管
连接头 · 三通接头
导气管
烧杯架
升降台
铁圈
升降台用架子
反应釜
反应瓶
反应管
反应盖
接受管
鼓泡器
反应器夹
实验支架 · 连接工具
滴定管架
斜加强棒
称量 · 取样 · 加样
巴氏吸管/一次性吸管
流式管/摇菌管
采样杯
采样拭子
毛细管
铝称量盘/铝盘
洗耳球 · 吹气球 ·定量吸球
药刮
药勺
称量纸
不锈钢浆
称量瓶
采样袋 · 采气袋
铲子
镊子
柄勺 · 舀子
滴管 · 胶帽 · 胶头
电子秤 · 称量秤
塑料称量盘
砝码
水平台/仪
移液 · 分液
移液器
吸头/枪头
瓶口分液器
移液管
滴定器
连续分液器
加样槽
移液器架
吸头盒
可调定量加液器
吸移瓶
吸移管
吸移管头 · 吸移器头
密封 · 搅拌 · 塞子
封口膜 · 封瓶膜 · 封口机
瓶封带
PVDF膜 / 硝酸纤维素膜 / 尼龙膜
玻璃塞 · 球磨塞
试管塞
橡胶塞
硅胶塞
四氟搅拌塞
吸移管塞
搅拌棒
磁力搅拌子
玻璃匀浆器
吸磁棒
真空油脂
搅拌器套管
O型圈 · 四氟套
容量瓶塞
瓶塞
加热 · 降温 · 温湿计
温度计
酒精计
温湿度计
温度计套管
热成像仪
瓷舟
刚玉舟
石英舟
方舟架
酒精灯 · 灯芯
石棉网
电炉
电加热圈
冷肼
燃烧勺
杜瓦瓶
石棉阻燃布
防暴沸玻璃珠
燃烧皿
灰分测定用皿
研磨 · 分离 · 过滤
过滤瓶 · 过滤装置
转印滤纸
漏斗
砂芯滤球 · 具砂板 · 过滤管
单链球 · 双链球
脱脂棉
分水器
过滤皮碗
不锈钢筛 · 筛网
研钵
索氏提取器
漏斗架
层析柱
尼龙滤网
砂芯坩埚
研磨珠
砂纸
球磨罐 · 球磨罐附属球
漏斗用盖子
蒸发 · 干燥
干燥器
坩埚
反应板
结晶皿
蒸发皿
表面皿
坩埚钳
坩埚架
气体干燥塔
干燥管
清洗 · 收集 · 回收
塑料瓶
气球
洗气瓶
刷子
放水桶 · 废液桶
氧气袋
多孔式气体洗瓶
酸缸/碱缸
球胆/气囊
洗气管
清洗机
清洗筐 · 瓶
细胞培养
一次性塑料表面培养皿
细胞培养皿
细胞培养板
细胞培养瓶
玻璃培养皿
细胞刮刀/刮铲
细胞筛网
培养皿消毒桶
培养皿架
比色皿架
玻底培养皿
玻底培养板
培养基瓶/血清瓶
爬片
细胞工厂
一次性塑料培养皿
一次性塑料培养方皿
微生物学
细菌培养皿
高压指示带/蒸汽灭菌指示胶带
接种环 · 接种针
涂布棒
接种棒
接种环消毒器
灭菌袋 · 牛皮纸
厌氧产气袋
分子生物
冻存管
滤芯枪头
离心管盒
PCR封板膜
PCR板
离心管
PCR管
冻存盒
冻存盖子色标
离心管架
酶标板
酶标条
酶标板框
梳子
离心瓶
冰盒 · 降温盒
磁力架
组织学 · 生物通用耗材
载玻片 · 存储盒 · 晾片板
电泳玻璃板套装
载玻片染色缸,玻璃
晾片板
染色架
免疫组化湿盒 /载玻片湿盒
盖玻片
深孔板
深孔板封板膜
透析袋
透析袋夹子
包埋盒 · 底膜 · 蜡块柜
生物垃圾袋
制冷 · 降温
样品前处理
针式滤器
滤纸
加液器
滤膜
固相萃取柱/SPE小柱
过滤器及配件
色谱耗材
液相色谱柱
气相色谱柱
进样瓶及配件
进样器 · 进样针
顶空瓶及配件
液相色谱耗材
气相色谱耗材
内插管
检测耗材
滴定管
硅胶板
核磁管
比色皿
比色管
试纸
层析缸
染色缸 · 染色架
比重瓶
铁架台
滴定台
铁单环 · 铁三环
三脚架
流量计
核磁管架
测试片/纸/笔
盖勃乳脂计
记录仪/器
比重仪/器
压力计·差压计
细度计·粘度计·硬度计
盐分计·水分计
转速计及配件·真空计
检漏仪·糖度计
医用耗材 · 切割耗材
剪刀
免疫组化笔Japan
脱脂棉球/棉棒
玻璃刀 · 美工刀
刀柄 · 刀片
持针钳
止血钳
留置针
解剖针
腰椎穿刺针
盐水放气针
计数板
采血管
医疗锐器具
注射器 · 输液器
纱布 · 敷料 · 垫单
缝合线 · 缝合针
玻璃板
小动物器具
大小鼠固定器 · 解剖板
鼠笼
大小鼠耳标 · 耳钳
老鼠垫料
饮水 · 喂食器具
笼具 · 观察箱
昆虫用品
剃毛器
麻醉面罩
电镜载网
混合合成 · 分离纯化
磁力搅拌器
电动搅拌器
悬臂式搅拌器
磁力搅拌槽
混合器/混合仪
梯度混合器
旋涡混合器
旋转摇床/混合仪
振荡摇床/混合仪
脱色/转移摇床摇瓶机
摇瓶机
玻璃反应釜
微波化学反应器 ||
翘板摇床 · 轨道摇床
高速离心机
离心机
振荡器
高速冷冻离心机
低速离心机
低速冷冻离心机
迷你离心机
微量离心机
大容量离心机
旋转蒸发仪
氮吹仪
真空离心浓缩仪
平行蒸发仪
冷冻干燥机
固相萃取装置
水循环装置
分散机
样品处理 · 清洗净化
匀浆机/乳化机
研磨机/粉碎机
均质器 · 均质仪
球磨机
消解仪 ||
蒸馏水器
超纯水机
除湿机
超声波清洗器
实验室洗瓶机
空气净化器
恒温加热 · 低温恒温
电热板 · 加热板
电热套
恒温水浴锅
恒温水槽/箱
恒温金属浴
玻璃仪器烘干器 ||
马弗炉
管式电阻炉
万用电炉
封闭电炉箱体
电阻炉
热循环仪
管式炉 ||
低温恒温槽
低温搅拌反应浴
恒温油槽
冷水机
低温恒温循环水浴
恒温器
混匀仪
干浴器
培养箱 · 干燥箱 · 试验箱
生化培养箱
二氧化碳培养箱
霉菌培养箱
电热/精密恒温培养箱
低温培养箱
隔水式恒温培养箱
光照培养箱
厌氧培养箱
微生物培养箱
恒温振荡器
振荡培养箱/恒温摇床 ||
水浴摇床
台式摇床
精密性摇床
干燥箱
真空干燥箱
鼓风干燥箱
电热恒温干燥箱
电热鼓风干燥箱
恒温干燥箱
热空气消毒箱
红外干燥箱
干燥培养两用箱 ||
恒温恒湿箱
药品稳定性试验箱
人工气候箱
老化试验箱
高低温试验箱
气候试验箱
盐雾腐蚀试验箱
组合箱
实验室泵 · 实验家具
蠕动泵/恒流泵
旋片真空泵/油泵
真空泵
无油真空泵
隔膜真空泵
化学杂交泵
循环水真空泵
气体采集泵
低温循环真空泵
注射泵
齿轮泵
无油空压机
真空吸液系统 ||
化学真空系统
危化品储存柜
实验台
吸液站
试剂柜
实验室软件
天平衡器 · 光学显微镜
超微量/微量天平
天平
分析天平
精密天平
电子天平
扭力天平
密度天平
静水力学天平
机械天平 ||
生物显微镜
荧光显微镜
金相显微镜
体视显微镜
偏光显微镜
测量显微镜
测量投影仪
内窥镜
电泳成像仪器 · 灭菌安全设备
电泳仪
电泳槽
转印槽
凝胶成像
紫外分析仪/投射仪
紫外交联仪
化学发光成像 ||
检查灯
生物安全柜
净化工作台
紫外线杀菌灯
红外线灭菌器
高压灭菌器/蒸汽灭菌器
真空灭菌器
高温蒸煮锅
玻璃珠灭菌器
通风柜
本生灯
风淋室
空气自净器
洁净双向传递窗
洁净采样车
低温保存设备 · 分子生物仪器
液氮罐
雪花制冰机
冰箱
超低温冰箱-86℃
低温冰箱-25至60℃
冷藏冷冻箱
冷藏箱2-8℃
冷冻箱
血液冷藏箱4℃ ||
基因扩增仪/PCR仪
分子杂交仪
基因枪
核酸提取仪
微孔热封仪
荧光计
磁力架
细胞生物仪器 · 微生物仪器
细胞计数仪
细胞培养转瓶机
超声波设备
超声波细胞粉碎机
细胞融合仪
电穿孔仪/电转化仪 ||
菌落计数器
生物指示剂培养器
集菌仪
空气微生物采样器
抗生素效价测量仪
无菌检查仪
ATP荧光检测仪
检验分析仪器 · 病理分析仪器
酶标仪
洗板机
渗透压仪
生化分析仪
血球分析仪
电解质分析仪
血凝仪
血沉仪
血糖仪
血红蛋白分析仪
特定蛋白分析仪
化学发光仪 ||
组织脱水机
包埋机
切片机
染色机
烤片机
熔蜡仪
取材台
切片柜
封片机
读板机
动物实验仪器 · 生物工程设备
动物呼吸机
动物麻醉机
动物监护仪
小动物立体定位仪
胸立体定位仪
动物心电图机
动物X光机
动物B超
行为学实验仪
电刺激仪
电生理仪
动物实验器具 ||
发酵罐
生物反应器
光学光度计 · 电化学仪器
可见分光光度计
紫外可见分光光度计
原子吸收光度计
火焰分光光度计
微量分光光度计
荧光分光光度计
红外分光光度计 ||
酸度计/PH计
电导率仪
溶解氧测定仪
离子浓度计
氧化还原电位计/ORP
多参数分析仪
电位滴定仪
电化学分析仪
光电比色计
电极
电解池
电击杯
物性分析仪器 · 光学表面分析
旋光仪
折射仪
密度计
粘度计
雾度仪
热量计
熔点仪
糖度计
盐度计 ||
分光测色仪
光泽度仪
白度计
涂层测厚仪
粗糙度仪
色差仪
硬度仪
比较测色仪
水质分析仪器 · 水分测定仪
BOD分析仪
COD测定仪
COD消解仪
浊度仪
余氯总氯测定仪
总磷测定仪
总氮测定仪
多参数水质分析仪
TDS计
测油仪
臭氧分析仪
氨氮测定仪
水质色度仪
水质硬度仪 ||
卤素/红外水分测定仪
卡尔费休水份测定仪
专用水份测定仪
层析色谱仪器 · 元素分析仪器
液相色谱仪
气相色谱仪
超临界色谱
离子色谱仪
凝胶色谱
薄层色谱
顶空进样器
氢气发生器
氮气发生器
空气发生器
氮氢空一体机
紫外/核酸蛋白检测仪
部分收集器
层析仪/采集器
层析冷柜 ||
测汞仪
元素分析测定仪
环境监测仪器 · 气体检测分析
紫外辐照计
照度计
测氡仪
尘埃粒子计数器
露点仪
风速仪
红外测温仪
风量罩
声级计
粉尘/颗粒物检测仪
红外热像仪 ||
甲醛测定仪
一氧化碳测定
二氧化碳测定
烟气分析仪
CO/CO2 二合一分析仪
四合一气体检测仪
可燃气体检测仪
氧气检测仪
毒性气体检测仪
VOC检测仪
温湿度计
差压测量仪
食品检测仪器 · 药品检验仪器
农药残留检测仪
消化炉
凯氏定氮仪
脂肪测定仪
粗纤维测定仪
黄曲霉度测定仪
面筋测定仪
氮磷钙测定仪
牛奶冰点测定仪 ||
片剂硬度计
澄明度检测仪
脆碎度测定仪
药物溶出度仪
智能崩解仪
多用仪
药物熔点仪
内毒素测定仪
微粒检测仪
土壤农业仪器 · 植物生理仪器
土壤养分速测仪
土壤水分测定仪
种子净度工作台
种子水分测定仪
种子发芽盒
种子储存柜 ||
叶绿素测定仪
叶面积测定仪
光合作用测定仪
植物荧光成像仪
植物气孔仪
冠层分析仪
叶片厚度仪
石油行业仪器 · 材料科学仪器
闪点仪
石油产品试验箱
燃点测定仪
蒸馏试验器
密度试验器
粘度测定仪
硫含量测定仪
辛烷值测试仪
残碳测定仪 ||
金相抛光机
金相磨抛机
金相镶嵌机
金相切割机
预磨机
磨平机
电工电器仪表 · 测量计量仪器
万用表
示波器
信号发生 ||
超声波探伤仪
扭力计
拉力计
测距仪
电压电阻表
噪音计
高斯计
射线测定仪
接头类
接头
三通接头
克莱森接头
Y型接头
连接接头
双磨口接头
互换接头
转移接头
转换接头
输入接头
抽滤接头
油泡通气接头
真空蒸馏接头
抽气接头
直型抽气接头
省空间抽气接头
90°抽气接头
高真空阀连接接头
流量控制接头
温度计接头
微量可调式温度计接头
防溅(泡沫)球
防溅球
防泡沫球
蒸发、旋蒸类
多蒸发瓶抽头
旋转蒸发
弯头类
弯头
油泡器
油泡器
防倒吸油泡器
洗气、气洗类
气体洗瓶,具砂板
洗气装置
分馏柱、头
冷凝器
高效冷凝器
直型冷凝器
高水速直型冷凝器
微型杜瓦冷凝器
球型冷凝器
旋蒸冷凝器
冷指冷凝器
层析柱
闪式层析柱
具砂板层析柱
层析缸
具四氟节门层析柱
具砂板四氟节门层析柱
具内螺纹口层析柱(带砂板)
减压层析柱
层析流量(压力)控制阀
层析用溶剂存储瓶
层析硅胶
TLC展开槽
存储瓶
溶剂流量存储瓶
溶剂存储球瓶
带砝兰口溶剂存储瓶
蒸馏器/球
微量蒸馏器/套
带真空夹层微量(垂刺)蒸馏器
微量垂刺蒸馏器
垂刺微量蒸馏器
一体式蒸馏/减压器
蒸馏球
蒸馏头类
蒸馏头
75°蒸馏头
105°蒸馏头
带夹层/刺蒸馏头
溶剂蒸馏头
蒸馏头/装置
HICKMAN微量蒸馏头
HICKMAN-HINKLE微量蒸馏头
温度计/管
具磨口温度计
微量可调式温度计套管
温湿度计
计时表
干燥装置
元素分析干燥装置/瓶
干燥器
溶剂干燥装置
具高真空阀式溶剂干燥装置
提取器
脂肪提取器
连续式液体-液体提取器
瓶类
杜瓦瓶
烧瓶
厚壁茄形瓶
球瓶
两口球瓶
三口瓶
四口瓶
三角瓶
鸡心瓶
抽滤瓶
反应瓶
厚壁耐压瓶
量器类
容量瓶
滴定管
酸式滴定管
量筒
漏斗类
漏斗
布什漏斗
具磨口漏斗
加液漏斗
分液漏斗
滴液漏斗
微/称量漏斗
坩埚类
坩埚
管类
反应管
超滤管,PES膜
抽提套管
磨口厚壁圆底试管
具砂板过滤管
具砂板导气管
气体扩散管
真空/接收器(管)
干燥管
三叉接受管
Y型三通连接管
三通蒸馏接受管
分水蒸馏接收管
多肽固相合成管/瓶
试管
离心管
(加压)过滤器/装置
过滤器
流动相过滤器
加压过滤装置
砂芯过滤球
分配器
双排管真空气体分配器
双排管真空气体分配器(空心节门塞)
双排管真空气体分配器(实心节门塞)
单排管真空气体分配器
单排管真空气体分配器(四氟节门)
单排管真空气体分配器(玻璃节门)
单排管真空气体分配器(高真空阀)
单排管真空气体分配器(#15砝兰盘磨口)
溶剂转移分配器
冷阱类
具(球)磨口冷阱
一体式冷阱
冷阱
双冷阱装置
杜瓦型冷阱
塞子
空心球磨塞(球磨口)
硅胶试管塞
空心玻璃塞
实心玻璃塞
玻璃塞
法兰盘塞子
节门/阀门
四氟节门塞
四氟直孔节门
惰性气体保护阀
玻璃节门
高真空/阀/节门
开关阀
升华器
升华器
成套玻璃仪器
微量有机化学成套玻璃仪器
有机化学成套玻璃仪器
反应釜
核磁管/附件
核磁管/附件
搅拌类
磁力搅拌子
烧杯
低型厚壁烧杯
PP无把手刻度烧杯
PP带把手刻度烧杯
TPX无把手刻度烧杯
TPX有把手刻度烧杯
石英烧杯
石英带盖坩埚
四氟乙烯带盖坩埚
四氟乙烯烧杯
烧杯夹
欣维尔自制烧杯
有柄玻璃烧杯,双刻度线
钳口瓶/配件
钳口瓶
普通病理
脱钙与软化
标本包埋
切片
HE染色
特殊染色
分子病理
免疫组化
免疫荧光
TUNEL
原位杂交
病理图像
切片扫描
共聚焦
拍照分析
超微病理
透射电镜
扫描电镜能谱
免疫电镜
电脑
联想台式电脑
惠普台式电脑
戴尔台式电脑 ||
联想笔记本电脑
惠普笔记本电脑
戴尔笔记本电脑
华为笔记本电脑
打印机
联想打印机
惠普打印机
爱普生打印机
时尚手机
华为手机
时尚数码
耗材促销
促销
首页
品牌中心
批量订购
积分商城
导购帮助
关于我们
当前位置:
首页
此分类下共有
722
条信息
83-49-8
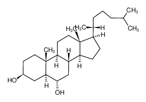
猪去氧胆酸
103476-21-7
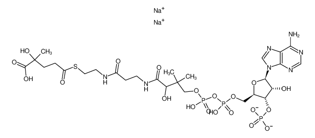
(DL-3-羟基-3-甲基戊二酰)辅酶A二钠盐
86088-90-6
Heart Total Extract (Bovine)
153463-21-9
25,26,26,26,27,27,27-heptafluorocholesterol
240129-21-9
25,26,26,26,27,27,27-heptafluoro-5α,6α-epoxycholestanol
240129-24-2
25,26,26,26,27,27,27-heptafluoro-5ß,6ß-epoxycholestanol
215094-37-4
25,26,26,26,27,27,27-heptafluoro-7-ketocholesterol
240129-42-4
25,26,26,26,27,27,27-heptafluoro-7ß-hydroxycholesterol
240129-40-2
25,26,26,26,27,27,27-heptafluoro-7α-hydrosycholesterol
50673-97-7
3ß-hydroxy-5α-cholest-8(14)-en-15-one
55823-04-6
3ß-hydroxy-5α-cholestane-15-one
566-28-9
3ß-hydroxy-5-cholestene-7-one
41083-73-2
6α-hydroxy-5α-cholestane
1246302-83-9
6α-hydroxy-5α-cholestane-d7
127684-08-6
3ß-hydroxy-5-cholestene-7-one-d7
1246302-95-3
25,26,26,26,27,27-hexadeuterocholest-5-ene-3ß,27-diol
313-04-2
3ß-hydroxy-5,24-cholestadiene
3862-25-7
7α-hydroxy-4-cholesten-3-one
58445-96-8
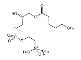
1-hexanoyl-2-hydroxy-sn-glycero-3-phosphocholine
160118-49-0
1-heptanoyl-2-hydroxy-sn-glycero-3-phosphocholine
50930-23-9
1-十七碳酰-甘油-3-磷酰胆碱
1213783-80-2
1-hexacosanoyl-2-hydroxy-sn-glycero-3-phosphocholine
384835-45-4
1-hexanoyl-2-hydroxy-sn-glycero-3-phosphate (ammonium salt)
799268-66-9
1-heptadecanoyl-2-hydroxy-sn-glycero-3-phosphate (sodium salt)
上一页
1
...
14
15
16
17
18
...
31
下一页
加载中...
×
用户登录
邮箱:
密码:
提交
没有账户?点此注册
忘记密码?